引言
GH4169是Fe-Ni-Cr基變形高溫合金,在-253~650 ℃具有較高的強度、塑性和良好的耐腐蝕及斷裂韌性等,廣泛應用于航空發動機、葉片等部件。傳統的鑄造、鍛造等方法限制了 GH3536 大尺寸或者復雜結構件的制備,在此情況下,大尺寸結構復雜件的快速成形成為增材制造領域的研究熱點[1-3]。電弧熔絲增材制造(Wire arc additive manufactur‐ing,WAAM)技術是以電弧作為熱源,以焊絲作為原材料的成形方法,由于其生產效率高、成本低、可生產大型結構件等特點,受到國內外學者的廣泛關注及研究[4-7]。
增材制造的成形特點決定了材料的組織和性能,由于在熱源作用下的快速熔化凝固,隨著逐層累積熱循環的作用,增材制造的合金組織與傳統鑄件存在一定的差異。CMT 成形 GH4169 合金組織存在各向異性,需要合適的熱處理工藝實現組織的均勻化,同時實現沉淀強化相的析出,進一步提升合金性能[8-9]。GH4169合金的強化主要依靠后續熱
處理中合金的沉淀析出相 γ''-Ni3Nb 相、γ'-Ni3(Al,Ti,Nb)相,其中γ''為體心立方結構,與基體γ相具有強烈的非共格關系,是合金的主要強化相[10-11]。
Laves相是GH4169合金中的一種低熔點脆性相,它通常在成形過程中由于 Nb 元素微觀偏析造成。Laves 相的生成消耗了大量的 Nb 元素,Laves 相的生成越多,消耗的 Nb 元素越多,變相導致 γ'與 γ''強化相的析出減少。并且在Laves相周圍容易出現因位錯塞集,從而導致的應力集中,增加了裂紋萌生的傾向性。經過研究發現,均勻化熱處理工藝可以有效溶解Laves相,保證γ'與γ''相析出,提高合金的強度以及蠕變性能[12-13]。
目前針對電弧增材制造GH4169合金熱處理組織特征研究不深,需要針對不同熱處理制度對GH4169 合金組織及相的影響開展研究,確定最佳的均勻化熱處理工藝。本文以 GH4169 為研究對象,采用 CMT 電弧熔絲增材制造技術成形樣件,進行均勻化熱處理研究,并通過微觀組織觀察、Laves相的溶解以及力學性能進行表征,揭示不同均勻化熱處理工藝對GH4169合金組織力學的演變以及蠕變性能的影響。
1 、試驗材料與方法
1.1 試驗材料
熔絲材料采用直徑 1.2 mm 的 GH4169 鎳基高溫合金,其化學成分見表 1。基板選用 Q235 鋼,尺寸為300 mm×300 mm×30 mm,使用前采用酒精、丙酮進行表面擦拭,去除油污。

1.2 試驗方法
試驗采用電弧熔絲系統(福尼斯焊機 Fronius-CMT advanced 4000R為熱源系、Fronius VR 1550送絲裝置及KUKA機器人),往復起收弧方式,進行單道多層樣件沉積,成形過程中焊槍始終與基板保持垂直,工藝參數如表2所示。圖1a給出了拉伸試樣的取樣位置,平行于打印方向的試樣標記為水平方向,平行于沉積方向的試樣標記為垂直方向,其中拉伸試樣的尺寸見圖1b。

為了研究均勻化熱處理對性能的影響,拉伸試樣分別在 1 050 ℃、1 100 ℃、1 170 ℃保溫 1 h 進行均勻化處理后,再進行固溶處理(980 ℃保溫 1 h/空冷)+雙時效處理(720 ℃保溫8 h/爐冷至620 ℃保溫8 h/空冷),最后在萬能實驗機上進行室溫拉伸性能測試。實驗采用箱式爐進行,均勻化處理后的試樣經預磨、拋光后進行化學侵蝕,化學侵蝕劑為CuSO4(2 g)+HCl(15 mL)+C2H5OH(10 mL)溶液。在光學顯微鏡(徠卡DM2700M)、高低真空掃描電鏡(JSM-IT500LA)下進行組織和能譜分析。
2 、結果與討論
2.1 沉積態組織
圖 2 為沉積態 GH4169 微觀組織,可以看出,成形件從底部到頂部微觀組織依次呈現:胞狀晶、柱狀晶及等軸晶。中間柱狀晶沿沉積方向貫穿熔覆層,這是因為上一層沉積層中重熔枝晶外延生長,且晶粒的生長方向與溫度梯度方向保持一致。因此使得試樣中部呈現沿沉積方向貫穿生長的柱狀晶。頂層的微觀組織呈現等軸晶,因為在頂層沉積完成后,沒有后續沉積層的重熔,且頂層的溫度梯度方向由<001>方向變為<100>方向,從而使枝晶擇優沿<100>方向生長,改變了枝晶主軸的生長方向,在頂部形成等軸晶。

GH4169 沉積態 SEM 形貌及析出相 EDS 能譜如圖3所示。從微觀組織上可以看出在基體上分布著白色塊狀顆粒及骨架狀結構。根據 EDS 能譜分析,白色的塊狀中 C 及 Nb 元素含量較高。因此,白色塊狀物可以確定為NbC相。Laves相主要以骨架狀結構存在,根據 EDS 能譜結果可證實。Laves 相作為一種脆性有害相,可以作為裂紋形核與擴展的通道。因此在后續的熱處理過程中,應該盡量減小Laves的析出,從而改善材料力學性能。

2.2 均勻化處理組織
試樣經過不同溫度均勻化處理后微觀組織如圖4所示。由圖4a可以看出,與沉積態柱狀晶的外延生長貫穿多個熔覆層組織不同,均勻化熱處理后,柱狀晶的連續性被破壞,部分柱狀晶轉化為尺寸較小的柱狀晶,斷裂后的柱狀晶仍沿著沉積方向分布。隨著均勻化溫度的升高,1 100 ℃均勻化處理后,柱狀晶轉變為較小的等軸晶,組織上的各向異性得以消除(見圖4b)。當溫度繼續升高,細小的等軸晶長大,晶粒尺寸變大(見圖4c)。

均勻化熱處理后試樣的顯微組織 SEM 圖像如圖 5 所示。可以看出,隨著均勻化溫度的增加,試樣中 Laves 相發生了溶解。對比圖 5a、圖 5b 可知,1 050 ℃均勻化處理后,在基體上分布著少量白色針狀相及較小的白色顆粒相。針狀物通過能譜進行成分測試,表 3 為點掃描能譜成分檢測結果。結果顯示,Spot1 在析出相的位置區域 Nb,Mo 元素含量明顯高于基體區域,Ti 元素也在該區域密度較大,充分說明在該點區域Nb元素與Mo元素存在嚴重偏析富集,而 Ti 元素存在一定程度的偏析,可以由此判斷白色針狀相組織為 Laves 相(Ni,Fe,Cr)2(Ni,Ti,Mo)。1 100 ℃均勻化熱處理后,在基體上觀察不到針狀Laves相,但可見較小的白色顆粒,對其進行EDS點掃描,Spot2結果顯示在該區域C、Nb元素出現富集,因此可確定白色小顆粒為 NbC 顆粒。進一步增加均勻化溫度至 1 170 ℃,碳化物依然存在。這是因為電弧增材制造過程中合金快速凝固,合金元素難以保證均勻,在沉積態枝晶間區域存在一定的元素偏析,存在大量的 Laves 相。隨著均勻化溫度的升高,試樣中合金元素加速擴散,Laves 相逐漸溶解直至充分溶解,基體上僅分布著白色碳化物顆粒,均勻化過程中 Laves 相的溶解及碳化物析出均有助于提高GH4169合金的綜合力學性能[12]。


2.3 拉伸及蠕變性能
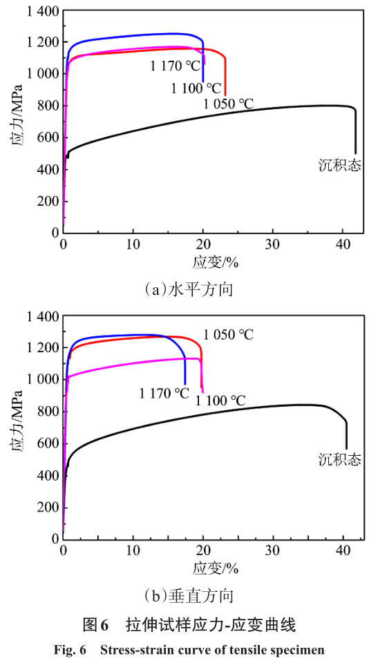
圖6為拉伸試樣應力-應變曲線。由圖6可知,經過均勻化+固溶時效處理后,水平方向和垂直方向試樣的強度有明顯的提升,塑性明顯下降。沉積態及不同溫度均勻化處理GH4169合金力學性能如圖 7 所示。可以看出,未經熱處理的沉積態試樣強度最低,抗拉強度 800 MPa,屈服強度 400 MPa,延伸率 36%,斷面收縮率 28%。同時沉積態垂直方向比水平方向的抗拉強度高40 MPa,這是因為沉積態組織沿垂直方向呈現柱狀晶,且柱狀晶貫穿多層,因此在沉積方向上材料的強度較高。均勻化后經過固溶時效+雙時效熱處理后,試樣抗拉強度均>1 100 MPa、屈服強度 >1 000 MPa、延伸率 >20%、斷面收縮率>26%,相比沉積態試樣的強度均有明顯的提升,延伸率降低。1 050 ℃均勻化后,縱向性能明顯高于橫向性能,這是因為經過 1 050 ℃均勻化處理后,微觀組織呈現柱狀晶特點,組織上仍存在各向異性,導致試樣力學性能的差異。1 170 ℃均勻化后性能降低,因為1 170 ℃均勻化溫度過高,發生再結晶導致晶粒長大,使得力學性能下降。


1 100 ℃均勻化后,橫向與縱向性能差異不大,不存在各向異性,且各項力學性能均達到鍛件標準 GB/T 30566—2014(抗拉強度≥1 241 MPa、屈服強度≥1 034 MPa、斷后伸長率≥10%,斷面收縮率≥12%)。上述分析,不同均勻化溫度導致力學性能差異,主要是因為電弧熔絲增材制造過程合金冷卻速度極快,液相熔池的凝固速度快,沿晶間彌散析出的塊狀碳化物形狀不規則,尺寸較小,并且Laves相的存在一方面會降低 Nb 元素的固溶強化作用,同時也因其占用大量的 Nb 元素導致熱處理過程中 δ 相和強化相 γ''的析出減少。Laves 相作為脆性相,其本身的塑性變形能力較差,在 Laves 相周圍因位錯塞集引起應力集中而影響其力學性能[14]。
圖8為不同溫度均勻化+固溶時效處理GH4169合金蠕變持久性能。可以看出,隨著均勻化溫度的改變,合金持久性能差異較大,且不同均勻化溫度下合金的蠕變性能均顯示各向異性。1 100 ℃均勻化處理,合金持久壽命及斷后延伸率均最優,同時經過熱處理后,合金的蠕變性能均優于鍛件標準性能[鍛件標準 GJB 5301—2014(溫度 650 ℃,加載690 MPa,持久壽命≥25 h,持久塑性≥5%)]。這是因為熱處理強化相γ''/γ'能夠顯著提升GH4169合金的持久/蠕變性能[15],合金中Laves相溶解,在980 ℃高溫固溶處理時會促進更多的 Nb 形成強化相 γ''/γ'。而1 100 ℃均勻化熱處理Laves相全部溶解,保證了強化相的含量,使得合金的蠕變性能最優。

2.4 斷口形貌
圖 9 為不同均勻化溫度+固溶時效熱處理斷口形貌。由圖 9a 可知,1 050 ℃水平方向斷口保持著柱狀晶取向分布的特征,這是因為經過 1 050 ℃均勻化處理后,微觀組織仍保持柱狀晶的特征,同時由于柱狀晶之間的關系為平行,滑移阻力較小,拉伸過程中柱狀晶會沿生長方向發生一定的滑移,所以水平方向試樣的延伸率較高。沿沉積方向的斷口,主要呈現韌窩斷裂方式。且沿沉積方向拉伸時,應力軸與柱狀晶生長方向一致,晶界的橫向約束小,滑移阻力較大,因此沉積方向試樣的強度較高。圖 9b、9c 斷口形貌主要為韌窩,不存在柱狀晶取向分布的特點,這是因為 1 100 ℃及以上溫度均勻化熱處理后柱狀晶組織消除,基本均為等軸晶。

同時熱處理后 Laves 相消除,韌窩主要是由碳化物相形成的微孔聚集而產生,因此試樣具有良好的塑性。
3 、結論
(1)隨著均勻化溫度的提升,組織中脆性 Laves相逐漸溶解,并且試樣發生再結晶柱狀晶逐漸轉化為等軸晶。在1 100 ℃均勻化處理后,Laves相完全溶解,且柱狀晶轉化為等軸晶,組織各向異性消除。
(2)均勻化+固溶時效熱處理后,相比于沉積態試樣強度明顯提升。1 100 ℃均勻化+固溶時效處理后,試樣水平及垂直方向性能趨于一致,性能均達到鍛件要求。隨著均勻化溫度升高至 1 170 ℃,試樣力學性能降低,因為試樣發生再結晶晶粒長大,導致性能下降。綜合試樣微觀組織力學性能以及試樣蠕變性能,電弧熔絲增材制造 GH4169 均勻化處理最佳工藝為1 100 ℃,保溫1 h。
參考文獻:
[1] 蘭博, 張國棟, 張學軍,等. 均勻化熱處理對電子束熔絲增材制造GH4169合金組織和性能的影響[J].熱加工工藝, 2019, 48(22):167-171.
LAN B, ZHANG G D, ZHANG X J, et al. Effects of Homogenization Heat Treatment on Microstructure and Mechanical Properties of GH4169 Alloy Fabricated by Electron Beam Additive Manufacturing[J]. Hot Work‐ing Technology,2019,48(22):167-171.
[2] 黃崇權,劉奮成,王曉光. CMT電弧增材制造GH4169合金的組織和拉伸性能[J]. 精密成形工程, 2019, 11(4):89-96.
HUANG C Q, LIN F C, WANG X G. Microstructure and tensile property of GH4169 superalloy fabricated by CMT-arc additive manufacturing[J]. Journal of Net‐shape Forming Engineering, 2019, 11(4):89-96.
[3] 宋衎,喻凱,林鑫,等 . 熱處理態激光立體成形 Inco‐nel718 高溫合金的組織及力學性能[J]. 金屬學報,2015,51(8):935-942.
SONG K, YU K, LIN X, et al. Microstructure and me‐chanical properties of heat treatment laser solid forming superalloy Inconel718[J]. Acta Metallurgica sinica,2015, 51(8):935-942.
[4] Cong B Q,Ouyang R J,Qi B J,et al. Influence of cold metal transfer process and its heat input on weld bead geometry and porosity of aluminum-copper alloy welds[J]. Rare Metal Materials and Engineering, 2016, 45(3):606-611.
[5] 黃之豪,高健,陳鵬,等. 電磁輔助電弧熔絲增材制造GH4169 合金的組織和疲勞性能[J]. 熱加工工藝,2023, 52(7):16-20+26.
HUANG Z H, GAO J, LI M L, et al. Microstructure and fatigue performance of GH4169 superalloy fabri‐cated by electromagnetic assisted WAAM[J]. Hot Working Technology, 2023, 52(7):16-20+26.
[6] 熊俊,薛永剛,陳輝,等. 電弧增材制造成型控制技術的研究現狀與展望[J].電焊機,2015, 45(9):45-50.
XIONG J, XUE Y G, CHEN H, et al. Status and de‐velopment prospects of forming control technology in arc-based additive manufacturing[J]. Electric welding machine, 2015,45(9):45-50.
[7] 余盈燕,鄧和平,黎燕,等. 航空航天用電弧熔絲增材制造研究綜述[J].大型鑄鍛件,2022,6(11):7-13.
YU Y Y, DENG H P, LI Y, et al. Review on Wire and Arc Additive Manufacturing for Aerospace[J]. Heavy casting and forging, 2022,6(11):7-13.
[8] 孔永華,劉瑞毅,陳國勝,等.不同固溶處理對GH4169合金常溫拉伸性能的影響[J]. 稀有金屬材料與工程,2012,41(2):616-620.
KONG Y H, LIU R Y, CHEN G S, et al. Effect of Dif‐ferent Solution Treatments on Room TemperatureTen‐sile Properties of GH4169 Alloy[J]. Rare Metal Materi‐als and Engineering, 2012,41(2):616-620.
[9] You X,Tan Y,Shi S,et al. Effect of solution heat treat‐ment on the precipitation behavior and strengthening mechanisms of electron beam smelted Inconel 718 su‐peralloy[J]. Materialsence & Engineering A, 2017(689):257-268.
[10] 田素貴,王欣,劉臣,等 . 熱處理制度對 GH4169 合金微觀組織與蠕變性能的影響[J].中國有色金屬學報,2013,23(1):108-115.
TIAN S G, WANG X, LIU C, et al. Influence of heat treatment regimes on Microstructure a creep properties of GH4169ndG alloy[J]. The Chinses Journal of Non‐ferrous Metals,2013,23(1):108-115.
[11] 毛笛越.等離子弧增材制造GH4169合金工藝與組織性能研究[D]. 湖北:華中科大學,2020.
MAO D Y. Study on crafts and microstructure proper‐ties of GH4169 superalloy by plasma arc welding addi‐tive manufacturing[D]. Hubei:Huazhong University of Science and Technology, 2020.
[12] 繆竹駿. IN718系列高溫合金凝固偏析及均勻化處理工藝研究[D]. 上海:上海交通大學,2011.
MIAO Z J. Study on solidification segregation and ho‐mogrnization treatments of IN718-type superalloys [D]. Shanghai:Shanghai JiaoTong University, 2011.
[13] Seowa C E, Coules H E, Wu G Y, et al. Wire +Arc Additively Manufactured Inconel 718: Effect of post-deposition heat treatments on microstructure and tensile properties[J]. Materials & Design,2019(183):108157.
[14] 蔣世川, 張健, 韓福 . GH4169 合金鑄態組織特征及均勻化處理工藝[J]. 金屬熱處理, 2021, 46(2):109-117.
JIANG S C, ZHANG J, HAN F. As-cast microstruc‐ture characteristics and homogenization treatment of GH4169 alloy[J]. Heat Treatment of Metals, 2021, 46(2): 109-117.
[15] 石磊,雷力明,王威,等. 熱等靜壓對激光選區熔化成形 GH4169 合金持久性能的影響[J]. 航空制造技術,2020,63(10):48-53.
SHI L, LEI L M, WANG W, et al. Effects of hot iso‐static pressing on stress rupture Properties of GH4169 alloy manufactured by selective laser Melting [J].Aeronautical Manufacturing Technology, 2020, 63(10):48-53.
相關鏈接